Vaccine Response Analysis#

Dataset: BNT162b2 vaccination time course (GEO GSE171964)

Background#

This dataset profiles PBMCs collected at baseline and after BNT162b2 vaccination, capturing short-term immune dynamics.

Single-arm longitudinal study — all participants received the vaccine. Analyses focus on within-participant changes (Day 0 vs Day 7) rather than treatment vs control comparisons. Participant-level aggregation avoids treating cells as independent observations, and multiple testing is controlled using FDR.

1. Setup#

[1]:
import warnings
warnings.filterwarnings('ignore', category=FutureWarning)
# Note: We do NOT suppress UserWarning — the package issues useful
# recommendations (e.g. use_bootstrap=True for small samples)
import pandas as pd
import numpy as np
import matplotlib.pyplot as plt
plt.rcParams["axes.grid"] = False
import seaborn as sns
sns.set_style("white")
sns.set_context("notebook")
import scanpy as sc
import sctrial as st
import scipy.sparse as sp
pd.options.mode.chained_assignment = None
# Configuration
SEED = 42
MIN_PAIRED = 4
MIN_GENES_FOR_SCORE = 5
FDR_ALPHA = 0.25  # Exploratory threshold; use 0.05 for confirmatory analyses


def _fmt_fdr(v):
    """Format FDR/p-value: scientific notation for very small values."""
    return f"{v:.2e}" if v < 0.001 else f"{v:.3f}"

2. Data Loading and Processing#

[2]:
# Dataset loader and helpers (from sctrial)
# Also available at top-level: st.load_vaccine_gse171964, st.verify_paired_participants, st.ensure_fdr
from sctrial.datasets import load_vaccine_gse171964, verify_paired_participants, ensure_fdr
from statsmodels.stats.multitest import multipletests

2.1 Load processed AnnData#

[3]:
adata = load_vaccine_gse171964(
    seed=SEED,
    allow_download=True,
)
print(adata)
print("Obs columns:")
print(sorted(adata.obs.columns.tolist()))
AnnData object with n_obs × n_vars = 78488 × 20102
    obs: 'pt_id', 'day', 'clustnm', 'sample_id'
    uns: 'processing_params'
    layers: 'counts'
Obs columns:
['clustnm', 'day', 'pt_id', 'sample_id']

2.2 Quick exploratory summaries#

[4]:
print("Days:", adata.obs["day"].unique())
print("Participants:", adata.obs["pt_id"].nunique())
print("Cell types:", adata.obs["clustnm"].nunique())
# Participants per day (before pairing restriction for analysis)
pt_per_day = adata.obs.groupby("day")["pt_id"].nunique().sort_index()
print("Participants per day:")
print(pt_per_day)
# Cell counts
eday_counts = adata.obs["day"].value_counts().sort_index()
ct_counts = adata.obs["clustnm"].value_counts().head(15)
fig, axes = plt.subplots(1, 2, figsize=(10, 4))
eday_counts.plot(kind="bar", ax=axes[0], title="Cells by day")
ct_counts.plot(kind="bar", ax=axes[1], title="Top cell types")
plt.tight_layout(); plt.show()

Days: [0 7]
Participants: 6
Cell types: 18
Participants per day:
day
0    6
7    6
Name: pt_id, dtype: int64
../_images/tutorials_example_vaccine_immport_9_1.png

3. Trial Design and Timepoint Strategy#

[5]:
# Ensure log1p CPM
if "log1p_cpm" not in adata.layers:
    adata = st.add_log1p_cpm_layer(adata, counts_layer="counts", out_layer="log1p_cpm")
# Standardize metadata
adata.obs["visit"] = adata.obs["day"].astype(str)
adata.obs["participant_id"] = adata.obs["pt_id"].astype(str)
adata.obs["cell_type"] = adata.obs["clustnm"].astype(str)
visit_col = "visit"
visits = [v for v in ["0", "7"] if v in adata.obs[visit_col].unique()]
# Participant-level pairing
participant_summary = (
    adata.obs.groupby("participant_id")[visit_col].apply(set).reset_index()
)
participant_summary["has_day0"] = participant_summary[visit_col].apply(lambda x: "0" in x)
participant_summary["has_day7"] = participant_summary[visit_col].apply(lambda x: "7" in x)
participant_summary["is_paired"] = participant_summary["has_day0"] & participant_summary["has_day7"]
paired_ids = set(participant_summary.loc[participant_summary["is_paired"], "participant_id"])
n_paired = len(paired_ids)
print(f"Paired participants (0 vs 7): {n_paired}")
# Analysis subset: paired participants only
adata_analysis = adata[adata.obs["participant_id"].isin(paired_ids)].copy()
print(f"Analysis subset cells: {adata_analysis.n_obs}")
# Covariates (if available)
candidate_covariates = ["age", "sex", "batch", "site"]
covariates = [c for c in candidate_covariates if c in adata.obs.columns]
print("Covariates available (not modeled here):", covariates)

# Design object for a SINGLE-ARM longitudinal study.
# All participants received vaccine — there is no control arm.
# arm_col=None tells sctrial this is a single-arm design.
# Analyses use within_arm_comparison() for paired pre→post inference,
# NOT between-arm DiD.
design = st.TrialDesign(
    participant_col="participant_id",
    visit_col=visit_col,
    arm_col=None,           # Single-arm study — no arm column
    celltype_col="cell_type",
)

# Run diagnostics
print("\n--- Trial Diagnostics ---")
diag = st.diagnose_trial_data(adata_analysis, design)
display(diag)

design
Paired participants (0 vs 7): 6
Analysis subset cells: 78488
Covariates available (not modeled here): []

--- Trial Diagnostics ---
{'n_cells': 78488,
 'n_genes': 20102,
 'n_participants': 6,
 'n_visits': 2,
 'visits': ['0', '7'],
 'paired_participants': {('0', '7'): 6},
 'cells_per_participant_visit_mean': 6540.666666666667,
 'cells_per_participant_visit_median': 5350.5,
 'cells_per_participant_visit_min': 3464,
 'n_celltypes': 18,
 'celltype_distribution': {'C2': 21632,
  'C0_CD4 T': 13633,
  'C1_NK': 10816,
  'C3_CD14+ monocytes': 7312,
  'C4_CD16+ monocytes': 4879,
  'C6_CD8 T': 4862,
  'C5_B': 4597,
  'C7_cDC2': 3878,
  'C10_Naive CD8 T': 2464,
  'C9_Platelets': 1883,
  'C11_pDC': 741,
  'C12_Tregs': 465,
  'C13_cDC1': 389,
  'C14_Plasmablasts': 297,
  'C17_Naive B': 222,
  'C16_NK T': 204,
  'C15_HPCs': 184,
  'C8_CD14+BDCA1+PD-L1+ cells': 30},
 'warnings': [],
 'recommendations': ['Sample size is small; use bootstrap inference (use_bootstrap=True)']}
[5]:
TrialDesign(participant_col='participant_id', visit_col='visit', arm_col=None, arm_treated='Treated', arm_control='Control', celltype_col='cell_type', crossover_col=None, baseline_visit=None, followup_visit=None)

3.1 Exploratory plots of cell types per visit#

[6]:
ct_visit = (
    adata_analysis.obs
    .groupby([design.celltype_col, design.visit_col], observed=True)
    .size()
    .reset_index(name="n_cells")
)
top_ct = adata_analysis.obs[design.celltype_col].value_counts().head(10).index
ct_visit_top = ct_visit[ct_visit[design.celltype_col].isin(top_ct)].copy()
plt.figure(figsize=(10, 4))
sns.barplot(data=ct_visit_top, x=design.celltype_col, y="n_cells", hue=design.visit_col)
plt.title("Top cell types by visit (paired participants)")
plt.xticks(rotation=45, ha="right")
plt.tight_layout(); plt.show()

../_images/tutorials_example_vaccine_immport_13_0.png

4. UMAPs of All Cell Types#

Here, we explore global structure across all cell types to understand broad immune landscape changes.

[7]:
# Compute UMAP on log1p CPM if missing
adata_umap = adata_analysis.copy()
adata_umap.X = adata_umap.layers["log1p_cpm"].copy()
if "X_umap" not in adata_umap.obsm:
    sc.pp.pca(adata_umap)
    sc.pp.neighbors(adata_umap)
    sc.tl.umap(adata_umap)
sc.pl.umap(
    adata_umap,
    color=design.celltype_col,
    legend_loc="right margin",
    title="All cell types (paired participants)",
)
# Stratified UMAPs by visit
fig, axes = plt.subplots(1, len(visits), figsize=(12, 4))
if len(visits) == 1:
    axes = [axes]
for i, vis in enumerate(visits):
    sub = adata_umap[adata_umap.obs[design.visit_col] == vis].copy()
    ax = axes[i]
    if sub.n_obs > 0:
        sc.pl.umap(sub, color=design.celltype_col, ax=ax, show=False, legend_loc=None, frameon=False)
        ax.set_title(f"Day {vis}")
        ax.set_aspect('equal')
    else:
        ax.set_axis_off()
plt.tight_layout(); plt.show()

../_images/tutorials_example_vaccine_immport_15_0.png
../_images/tutorials_example_vaccine_immport_15_1.png

5. Module Scoring and Gene Panel#

Here, we define biologically motivated signatures and a focused gene panel for downstream within‑arm testing.

[8]:
available = set(adata_analysis.var_names)
# Define immunologically relevant gene sets for vaccine response
# Expanded to include T cell responses which are critical for vaccine immunity
raw_gene_sets = {
    "B_Cell_Response": ["CD79A", "CD79B", "MS4A1", "MZB1", "XBP1", "JCHAIN", "IGHG1", "IGHA1"],
    "IFN_Signature": ["ISG15", "IFI6", "IFIT1", "IFIT3", "MX1", "STAT1", "OAS1", "IRF7"],
    "Inflammatory": ["S100A8", "S100A9", "LYZ", "VCAN", "IL1B", "CXCL8", "CCL2"],
    "T_Cell_Activation": ["CD69", "CD38", "HLA-DRA", "ICOS", "IL2RA", "TNFRSF9"],
    "Cytotoxic": ["GZMB", "GZMA", "PRF1", "GNLY", "NKG7", "IFNG"],
    "Memory_T": ["IL7R", "TCF7", "LEF1", "CCR7", "SELL", "CD27"],
}
print("Gene set coverage:")
filtered = {}
for name, genes in raw_gene_sets.items():
    present = [g for g in genes if g in available]
    pct = len(present) / len(genes) * 100 if genes else 0
    status = "OK" if len(present) >= MIN_GENES_FOR_SCORE else "SKIP"
    print(f"  {name}: {len(present)}/{len(genes)} genes ({pct:.0f}%) [{status}]")
    if len(present) >= MIN_GENES_FOR_SCORE:
        filtered[name] = present
if filtered:
    adata_analysis = st.score_gene_sets(
        adata_analysis, filtered, layer="log1p_cpm", method="zmean", prefix="ms_"
    )
    print(f"\nScored {len(filtered)} gene sets using zmean.")
else:
    print(f"\nNo gene sets matched (min_genes={MIN_GENES_FOR_SCORE}); skipping module scoring.")
features = [c for c in adata_analysis.obs.columns if c.startswith("ms_")]
print("Module score features:", features)
# Panel genes for individual gene analysis (expanded)
panel_genes_all = [
    # B cell
    "CD79A", "CD79B", "MS4A1", "MZB1", "XBP1",
    # IFN
    "ISG15", "IFI6", "IFIT1", "MX1",
    # Inflammatory
    "S100A8", "S100A9", "LYZ", "VCAN",
    # T cell activation
    "CD69", "CD38", "IL2RA",
    # Cytotoxic
    "GZMB", "PRF1", "NKG7",
]
panel_genes = [g for g in panel_genes_all if g in available]
missing_panel = [g for g in panel_genes_all if g not in available]
print("\nPanel genes (available):", panel_genes)
if missing_panel:
    print("Panel genes missing:", missing_panel)

Gene set coverage:
  B_Cell_Response: 8/8 genes (100%) [OK]
  IFN_Signature: 8/8 genes (100%) [OK]
  Inflammatory: 7/7 genes (100%) [OK]
  T_Cell_Activation: 6/6 genes (100%) [OK]
  Cytotoxic: 6/6 genes (100%) [OK]
  Memory_T: 6/6 genes (100%) [OK]

Scored 6 gene sets using zmean.
Module score features: ['ms_B_Cell_Response', 'ms_IFN_Signature', 'ms_Inflammatory', 'ms_T_Cell_Activation', 'ms_Cytotoxic', 'ms_Memory_T']

Panel genes (available): ['CD79A', 'CD79B', 'MS4A1', 'MZB1', 'XBP1', 'ISG15', 'IFI6', 'IFIT1', 'MX1', 'S100A8', 'S100A9', 'LYZ', 'VCAN', 'CD69', 'CD38', 'IL2RA', 'GZMB', 'PRF1', 'NKG7']
[9]:
# ============================================================================
# PAIRING VERIFICATION (package helper)
# ============================================================================
print("=" * 60)
print("PAIRING VERIFICATION (based on valid signature scores)")
print("=" * 60)
paired_info = verify_paired_participants(
    adata_analysis.obs,
    visit_col=visit_col,
    visits=visits,
    features=features,
    participant_col="participant_id",
)
VALID_PAIRED_IDS = paired_info["paired_ids"]
N_VALID_PAIRED = paired_info["n_paired"]
print("")
print(f"Participants with valid Day0+Day7 scores for ALL features: {N_VALID_PAIRED}")
print(f"Total participants: {paired_info['n_total']}")
if paired_info["dropped_ids"]:
    print(f"Dropped (missing visit or NaN features): {len(paired_info['dropped_ids'])}")
else:
    print("All paired participants have valid scores ✓")
print("")
print(f"Using {N_VALID_PAIRED} validated paired participants for analyses.")

============================================================
PAIRING VERIFICATION (based on valid signature scores)
============================================================

Participants with valid Day0+Day7 scores for ALL features: 6
Total participants: 6
All paired participants have valid scores ✓

Using 6 validated paired participants for analyses.

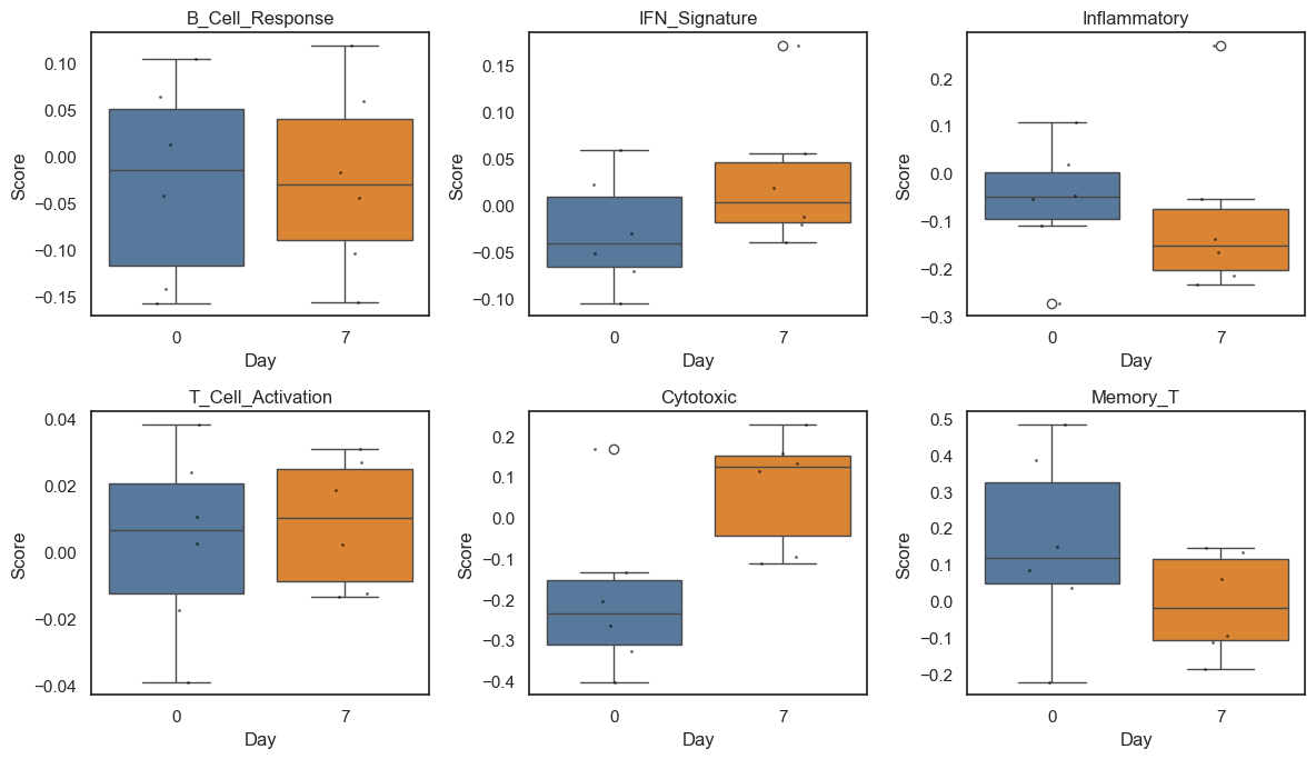
6. Within-Arm Comparisons (Participant-Level)#

Here, we run paired within‑participant analyses to determine which module scores change from Day 0 to Day 7.

Bootstrap inference: With only 6 paired participants, cluster-robust asymptotic p-values are anti-conservative. We use use_bootstrap=True (wild cluster bootstrap-t; Cameron et al. 2008) to obtain reliable p-values, standard errors, and confidence intervals. The bootstrap p-value replaces the analytical p-value as the primary inferential quantity.

[10]:
print("=" * 60)
print("WITHIN-ARM COMPARISONS: MODULE SCORES (Day 0 vs Day 7)")
print("=" * 60)
res_within = pd.DataFrame()
if features and len(visits) == 2:
    ad_sub = adata_analysis[adata_analysis.obs["participant_id"].isin(VALID_PAIRED_IDS)].copy()
    res_within = st.within_arm_comparison(
        ad_sub,
        arm="All",
        features=features,
        design=design,
        visits=tuple(visits),
        aggregate="participant_visit",
        standardize=True,
        use_bootstrap=True,   # Recommended for small n (6 participants)
        n_boot=999,
        seed=SEED,
    )
    if res_within is not None and not res_within.empty:
        # Use package helper for FDR correction
        res_within = ensure_fdr(res_within, p_col="p_time", fdr_col="FDR_time")
        display_cols = [
            "feature", "beta_time", "se_time", "p_time",
            "p_time_boot", "se_time_boot", "ci_lo_boot", "ci_hi_boot",
            "FDR_time", "n_units",
        ]
        display_cols = [c for c in display_cols if c in res_within.columns]
        display(res_within[display_cols].round(4))
        sig = res_within[(res_within["FDR_time"].notna()) & (res_within["FDR_time"] < FDR_ALPHA)]
        if not sig.empty:
            print("")
            print(f"Module score changes (FDR < {FDR_ALPHA}):")
            for _, row in sig.iterrows():
                direction = "increased" if row["beta_time"] > 0 else "decreased"
                print(f"  {row['feature']}: {direction} (beta={row['beta_time']:.3f}, FDR={_fmt_fdr(row['FDR_time'])})")
        else:
            print("")
            print(f"No module scores reached FDR < {FDR_ALPHA}.")
    else:
        print("No within-arm results for module scores.")
else:
    print("Insufficient features or visits for within-arm comparisons.")
print("")
print("Boxplots show participant-level distributions by day; points indicate individual participants.")
# Plot participant-level module scores by day
if features and len(visits) == 2:
    df_plot = (
        adata_analysis.obs
        .groupby(["participant_id", "visit"], observed=True)[features]
        .mean()
        .reset_index()
    )
    n_feats = len(features)
    n_cols = min(3, n_feats)
    n_rows = (n_feats + n_cols - 1) // n_cols
    fig, axes = plt.subplots(n_rows, n_cols, figsize=(4*n_cols, 3.5*n_rows))
    axes = np.array(axes).reshape(-1)
    for i, feat in enumerate(features):
        ax = axes[i]
        sns.boxplot(
            data=df_plot,
            x="visit",
            y=feat,
            hue="visit",
            ax=ax,
            order=visits,
            palette={"0": "#4C78A8", "7": "#F58518"},
            dodge=False,
            linewidth=1,
        )
        sns.stripplot(
            data=df_plot,
            x="visit",
            y=feat,
            ax=ax,
            order=visits,
            color="black",
            size=2,
            alpha=0.6,
            jitter=0.15,
        )
        ax.set_title(feat.replace("ms_", ""))
        ax.set_xlabel("Day")
        ax.set_ylabel("Score")
        if ax.legend_:
            ax.legend_.remove()
    for j in range(i+1, len(axes)):
        axes[j].axis("off")
    plt.tight_layout()
    plt.show()
============================================================
WITHIN-ARM COMPARISONS: MODULE SCORES (Day 0 vs Day 7)
============================================================
/var/folders/71/dc4p4yz15s74z9c69xy6sk_00000gt/T/ipykernel_52079/491674085.py:7: UserWarning: Only 6 clusters (participants) available. Cluster-robust standard errors are unreliable with fewer than 10 clusters.
  res_within = st.within_arm_comparison(
/var/folders/71/dc4p4yz15s74z9c69xy6sk_00000gt/T/ipykernel_52079/491674085.py:7: UserWarning: Only 6 clusters (participants) available. Cluster-robust standard errors are unreliable with fewer than 10 clusters.
  res_within = st.within_arm_comparison(
/var/folders/71/dc4p4yz15s74z9c69xy6sk_00000gt/T/ipykernel_52079/491674085.py:7: UserWarning: Only 6 clusters (participants) available. Cluster-robust standard errors are unreliable with fewer than 10 clusters.
  res_within = st.within_arm_comparison(
/var/folders/71/dc4p4yz15s74z9c69xy6sk_00000gt/T/ipykernel_52079/491674085.py:7: UserWarning: Only 6 clusters (participants) available. Cluster-robust standard errors are unreliable with fewer than 10 clusters.
  res_within = st.within_arm_comparison(
/var/folders/71/dc4p4yz15s74z9c69xy6sk_00000gt/T/ipykernel_52079/491674085.py:7: UserWarning: Only 6 clusters (participants) available. Cluster-robust standard errors are unreliable with fewer than 10 clusters.
  res_within = st.within_arm_comparison(
/var/folders/71/dc4p4yz15s74z9c69xy6sk_00000gt/T/ipykernel_52079/491674085.py:7: UserWarning: Only 6 clusters (participants) available. Cluster-robust standard errors are unreliable with fewer than 10 clusters.
  res_within = st.within_arm_comparison(
feature beta_time se_time p_time p_time_boot se_time_boot ci_lo_boot ci_hi_boot FDR_time n_units
0 ms_B_Cell_Response 0.0254 0.4494 0.956 0.956 0.2709 -0.5921 0.6240 0.9560 6
1 ms_IFN_Signature 0.7952 0.5897 0.078 0.078 0.4608 -0.0036 1.5941 0.2340 6
2 ms_Inflammatory -0.1978 1.1930 0.764 0.764 0.7326 -2.2434 1.5163 0.9168 6
3 ms_T_Cell_Activation 0.2428 0.6512 0.604 0.604 0.4141 -0.9511 1.4367 0.9060 6
4 ms_Cytotoxic 1.2288 0.5657 0.001 0.001 0.6064 0.1025 2.2272 0.0060 6
5 ms_Memory_T -0.7647 0.8561 0.266 0.266 0.6222 -2.1013 0.5719 0.5320 6

Module score changes (FDR < 0.25):
  ms_IFN_Signature: increased (beta=0.795, FDR=0.234)
  ms_Cytotoxic: increased (beta=1.229, FDR=0.006)

Boxplots show participant-level distributions by day; points indicate individual participants.
../_images/tutorials_example_vaccine_immport_20_4.png

Module-Score Pseudobulk by Cell Type (Within-Arm)#

Here, we aggregate module scores to participant×visit×cell_type (pseudobulk) and test paired Day 0→Day 7 changes within the vaccinated arm for each cell type.

[11]:
if features and len(visits) == 2:
    pb_mod = st.module_score_pseudobulk(
        adata_analysis,
        module_cols=features,
        design=design,
        visits=tuple(visits),
        pool_col="cell_type",
        min_cells_per_group=5,
    )
    res_mod_ct = st.module_score_within_arm_by_pool(
        pb_mod,
        design=design,
        visits=tuple(visits),
        min_paired=3,
        fdr_within="module",
    )
    if not res_mod_ct.empty:
        display(res_mod_ct.sort_values("p_time").head(20))
        pivot = res_mod_ct.pivot(index="module", columns="pool", values="mean_delta")
        plt.figure(figsize=(8, max(4, 0.35*len(pivot))))
        sns.heatmap(pivot, cmap="RdBu_r", center=0)
        plt.title("Module-Score Changes by Cell Type (Day 7 − Day 0)")
        plt.tight_layout()
        plt.show()
    else:
        print("No valid pseudobulk module-score results for cell types.")
else:
    print("Skipping pseudobulk module-score analysis: insufficient features or visits.")

pool module mean_delta p_time n_units FDR_time
44 C16_NK T ms_IFN_Signature 0.127046 0.0625 5 0.118056
76 C4_CD16+ monocytes ms_Memory_T -0.034321 0.0625 5 0.354167
68 C3_CD14+ monocytes ms_IFN_Signature 0.074320 0.0625 5 0.118056
45 C16_NK T ms_Inflammatory -0.194590 0.0625 5 0.118056
21 C12_Tregs ms_Inflammatory -0.170266 0.0625 5 0.118056
31 C14_Plasmablasts ms_Cytotoxic 0.549445 0.0625 5 0.354167
59 C1_NK ms_T_Cell_Activation 0.042359 0.0625 5 0.455357
80 C5_B ms_IFN_Signature 0.087895 0.0625 5 0.118056
81 C5_B ms_Inflammatory -0.163149 0.0625 5 0.118056
33 C14_Plasmablasts ms_Inflammatory -0.111602 0.0625 5 0.118056
57 C1_NK ms_Inflammatory -0.160659 0.0625 5 0.118056
85 C6_CD8 T ms_Cytotoxic 0.171548 0.0625 5 0.354167
74 C4_CD16+ monocytes ms_IFN_Signature 0.163654 0.0625 5 0.118056
86 C6_CD8 T ms_IFN_Signature 0.071140 0.0625 5 0.118056
92 C7_cDC2 ms_IFN_Signature 0.102951 0.0625 5 0.118056
10 C10_Naive CD8 T ms_Memory_T 0.215776 0.0625 5 0.354167
9 C10_Naive CD8 T ms_Inflammatory -0.170429 0.0625 5 0.118056
8 C10_Naive CD8 T ms_IFN_Signature 0.060588 0.0625 5 0.118056
56 C1_NK ms_IFN_Signature 0.076553 0.0625 5 0.118056
55 C1_NK ms_Cytotoxic 0.241627 0.0625 5 0.354167
../_images/tutorials_example_vaccine_immport_22_1.png

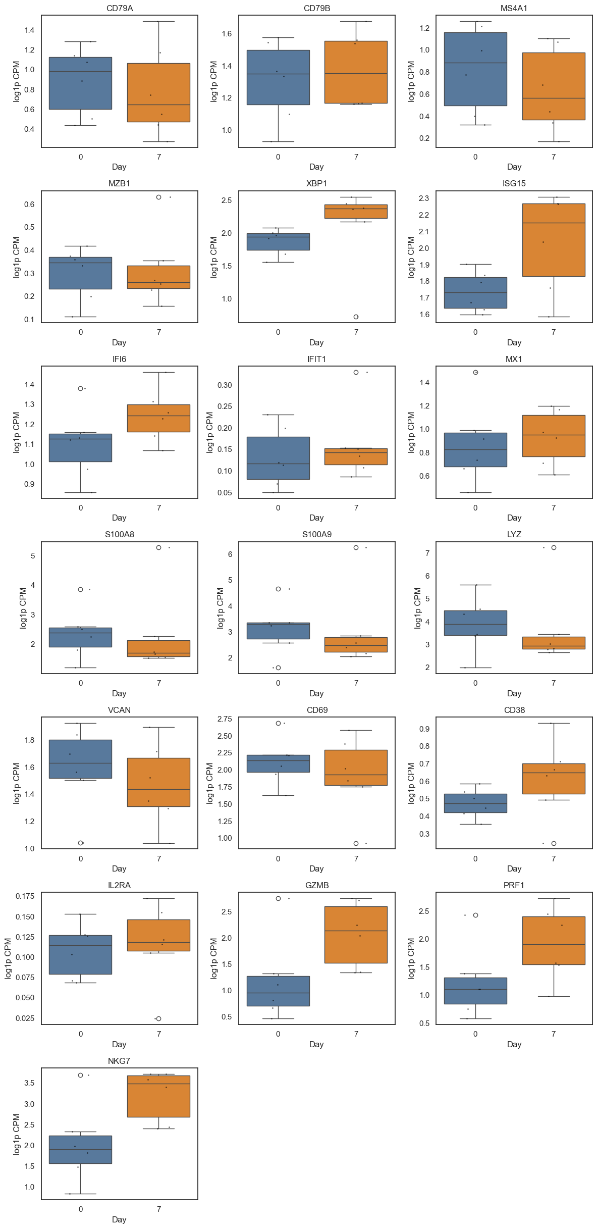
7. Gene Expression Within-Arm (Panel Genes)#

Here, we test targeted panel genes for within‑arm changes using participant‑level aggregation.

[12]:
print("=" * 60)
print("WITHIN-ARM COMPARISONS: PANEL GENES (Day 0 vs Day 7)")
print("=" * 60)
res_genes = pd.DataFrame()
if panel_genes and len(visits) == 2:
    ad_sub = adata_analysis[adata_analysis.obs["participant_id"].isin(VALID_PAIRED_IDS)].copy()
    res_genes = st.within_arm_comparison(
        ad_sub,
        arm="All",
        features=panel_genes,
        design=design,
        visits=tuple(visits),
        aggregate="participant_visit",
        standardize=True,
        layer="log1p_cpm",
        use_bootstrap=True,   # Recommended for small n (6 participants)
        n_boot=999,
        seed=SEED,
    )
    if res_genes is not None and not res_genes.empty:
        # Use package helper for FDR correction
        res_genes = ensure_fdr(res_genes, p_col="p_time", fdr_col="FDR_time")
        display_cols = [
            "feature", "beta_time", "se_time", "p_time",
            "p_time_boot", "se_time_boot", "ci_lo_boot", "ci_hi_boot",
            "FDR_time", "n_units",
        ]
        display_cols = [c for c in display_cols if c in res_genes.columns]
        display(res_genes[display_cols].round(4))
        sig = res_genes[(res_genes["FDR_time"].notna()) & (res_genes["FDR_time"] < FDR_ALPHA)]
        if not sig.empty:
            print("")
            print(f"Panel genes with significant changes (FDR < {FDR_ALPHA}):")
            for _, row in sig.iterrows():
                direction = "increased" if row["beta_time"] > 0 else "decreased"
                print(f"  {row['feature']}: {direction} (beta={row['beta_time']:.3f}, FDR={_fmt_fdr(row['FDR_time'])})")
        else:
            print("")
            print(f"No panel genes reached FDR < {FDR_ALPHA}.")
    else:
        print("No within-arm results for panel genes.")
else:
    print("No panel genes available or missing visits.")
print("")
print("Boxplots show participant-level log1p CPM by day; points indicate individual participants.")
# Plot participant-level panel genes by day (log1p CPM)
if panel_genes and len(visits) == 2:
    df_expr = adata_analysis.obs[["participant_id", "visit"]].copy()
    for g in panel_genes:
        df_expr[g] = st.extract_gene_vector(adata_analysis, g, layer="log1p_cpm")
    df_plot = (
        df_expr
        .groupby(["participant_id", "visit"], observed=True)[panel_genes]
        .mean()
        .reset_index()
    )
    n_feats = len(panel_genes)
    n_cols = min(3, n_feats)
    n_rows = (n_feats + n_cols - 1) // n_cols
    fig, axes = plt.subplots(n_rows, n_cols, figsize=(4*n_cols, 3.5*n_rows))
    axes = np.array(axes).reshape(-1)
    for i, feat in enumerate(panel_genes):
        ax = axes[i]
        sns.boxplot(
            data=df_plot,
            x="visit",
            y=feat,
            hue="visit",
            ax=ax,
            order=visits,
            palette={"0": "#4C78A8", "7": "#F58518"},
            dodge=False,
            linewidth=1,
        )
        sns.stripplot(
            data=df_plot,
            x="visit",
            y=feat,
            ax=ax,
            order=visits,
            color="black",
            size=2,
            alpha=0.6,
            jitter=0.15,
        )
        ax.set_title(feat)
        ax.set_xlabel("Day")
        ax.set_ylabel("log1p CPM")
        if ax.legend_:
            ax.legend_.remove()
    for j in range(i+1, len(axes)):
        axes[j].axis("off")
    plt.tight_layout()
    plt.show()
============================================================
WITHIN-ARM COMPARISONS: PANEL GENES (Day 0 vs Day 7)
============================================================
/var/folders/71/dc4p4yz15s74z9c69xy6sk_00000gt/T/ipykernel_52079/4144594531.py:7: UserWarning: Only 6 clusters (participants) available. Cluster-robust standard errors are unreliable with fewer than 10 clusters.
  res_genes = st.within_arm_comparison(
/var/folders/71/dc4p4yz15s74z9c69xy6sk_00000gt/T/ipykernel_52079/4144594531.py:7: UserWarning: Only 6 clusters (participants) available. Cluster-robust standard errors are unreliable with fewer than 10 clusters.
  res_genes = st.within_arm_comparison(
/var/folders/71/dc4p4yz15s74z9c69xy6sk_00000gt/T/ipykernel_52079/4144594531.py:7: UserWarning: Only 6 clusters (participants) available. Cluster-robust standard errors are unreliable with fewer than 10 clusters.
  res_genes = st.within_arm_comparison(
/var/folders/71/dc4p4yz15s74z9c69xy6sk_00000gt/T/ipykernel_52079/4144594531.py:7: UserWarning: Only 6 clusters (participants) available. Cluster-robust standard errors are unreliable with fewer than 10 clusters.
  res_genes = st.within_arm_comparison(
/var/folders/71/dc4p4yz15s74z9c69xy6sk_00000gt/T/ipykernel_52079/4144594531.py:7: UserWarning: Only 6 clusters (participants) available. Cluster-robust standard errors are unreliable with fewer than 10 clusters.
  res_genes = st.within_arm_comparison(
/var/folders/71/dc4p4yz15s74z9c69xy6sk_00000gt/T/ipykernel_52079/4144594531.py:7: UserWarning: Only 6 clusters (participants) available. Cluster-robust standard errors are unreliable with fewer than 10 clusters.
  res_genes = st.within_arm_comparison(
/var/folders/71/dc4p4yz15s74z9c69xy6sk_00000gt/T/ipykernel_52079/4144594531.py:7: UserWarning: Only 6 clusters (participants) available. Cluster-robust standard errors are unreliable with fewer than 10 clusters.
  res_genes = st.within_arm_comparison(
/var/folders/71/dc4p4yz15s74z9c69xy6sk_00000gt/T/ipykernel_52079/4144594531.py:7: UserWarning: Only 6 clusters (participants) available. Cluster-robust standard errors are unreliable with fewer than 10 clusters.
  res_genes = st.within_arm_comparison(
/var/folders/71/dc4p4yz15s74z9c69xy6sk_00000gt/T/ipykernel_52079/4144594531.py:7: UserWarning: Only 6 clusters (participants) available. Cluster-robust standard errors are unreliable with fewer than 10 clusters.
  res_genes = st.within_arm_comparison(
/var/folders/71/dc4p4yz15s74z9c69xy6sk_00000gt/T/ipykernel_52079/4144594531.py:7: UserWarning: Only 6 clusters (participants) available. Cluster-robust standard errors are unreliable with fewer than 10 clusters.
  res_genes = st.within_arm_comparison(
/var/folders/71/dc4p4yz15s74z9c69xy6sk_00000gt/T/ipykernel_52079/4144594531.py:7: UserWarning: Only 6 clusters (participants) available. Cluster-robust standard errors are unreliable with fewer than 10 clusters.
  res_genes = st.within_arm_comparison(
/var/folders/71/dc4p4yz15s74z9c69xy6sk_00000gt/T/ipykernel_52079/4144594531.py:7: UserWarning: Only 6 clusters (participants) available. Cluster-robust standard errors are unreliable with fewer than 10 clusters.
  res_genes = st.within_arm_comparison(
/var/folders/71/dc4p4yz15s74z9c69xy6sk_00000gt/T/ipykernel_52079/4144594531.py:7: UserWarning: Only 6 clusters (participants) available. Cluster-robust standard errors are unreliable with fewer than 10 clusters.
  res_genes = st.within_arm_comparison(
/var/folders/71/dc4p4yz15s74z9c69xy6sk_00000gt/T/ipykernel_52079/4144594531.py:7: UserWarning: Only 6 clusters (participants) available. Cluster-robust standard errors are unreliable with fewer than 10 clusters.
  res_genes = st.within_arm_comparison(
/var/folders/71/dc4p4yz15s74z9c69xy6sk_00000gt/T/ipykernel_52079/4144594531.py:7: UserWarning: Only 6 clusters (participants) available. Cluster-robust standard errors are unreliable with fewer than 10 clusters.
  res_genes = st.within_arm_comparison(
/var/folders/71/dc4p4yz15s74z9c69xy6sk_00000gt/T/ipykernel_52079/4144594531.py:7: UserWarning: Only 6 clusters (participants) available. Cluster-robust standard errors are unreliable with fewer than 10 clusters.
  res_genes = st.within_arm_comparison(
/var/folders/71/dc4p4yz15s74z9c69xy6sk_00000gt/T/ipykernel_52079/4144594531.py:7: UserWarning: Only 6 clusters (participants) available. Cluster-robust standard errors are unreliable with fewer than 10 clusters.
  res_genes = st.within_arm_comparison(
/var/folders/71/dc4p4yz15s74z9c69xy6sk_00000gt/T/ipykernel_52079/4144594531.py:7: UserWarning: Only 6 clusters (participants) available. Cluster-robust standard errors are unreliable with fewer than 10 clusters.
  res_genes = st.within_arm_comparison(
/var/folders/71/dc4p4yz15s74z9c69xy6sk_00000gt/T/ipykernel_52079/4144594531.py:7: UserWarning: Only 6 clusters (participants) available. Cluster-robust standard errors are unreliable with fewer than 10 clusters.
  res_genes = st.within_arm_comparison(
feature beta_time se_time p_time p_time_boot se_time_boot ci_lo_boot ci_hi_boot FDR_time n_units
0 CD79A -0.2768 0.3962 0.427 0.427 0.2591 -1.2937 0.3502 0.7375 6
1 CD79B 0.2965 0.3855 0.293 0.293 0.2574 -0.3634 0.9564 0.6422 6
2 MS4A1 -0.4912 0.2044 0.071 0.071 0.2352 -0.9824 0.0000 0.2698 6
3 MZB1 0.1200 0.4993 0.710 0.710 0.3022 -0.7010 0.7794 0.8993 6
4 XBP1 0.4798 0.6779 0.338 0.338 0.4441 -0.6366 1.5963 0.6422 6
5 ISG15 1.1085 0.4714 0.042 0.042 0.5085 0.2535 1.9635 0.1995 6
6 IFI6 0.8359 0.1878 0.013 0.013 0.3461 0.5357 1.1361 0.1235 6
7 IFIT1 0.3859 0.5645 0.312 0.312 0.3626 -0.5277 1.2996 0.6422 6
8 MX1 0.1928 0.4423 0.498 0.498 0.2729 -0.5749 1.1062 0.7885 6
9 S100A8 -0.0273 1.1353 0.988 0.988 0.6959 -1.7140 1.4773 0.9880 6
10 S100A9 -0.0694 1.1747 0.914 0.914 0.7196 -1.7879 1.6492 0.9648 6
11 LYZ -0.1502 1.1776 0.807 0.807 0.7199 -1.9382 1.6378 0.9142 6
12 VCAN -0.4103 1.1010 0.641 0.641 0.6907 -2.5379 1.0782 0.8993 6
13 CD69 -0.4415 1.0923 0.709 0.709 0.7009 -1.9212 1.0382 0.8993 6
14 CD38 0.7758 0.7686 0.148 0.148 0.5447 -0.4501 2.0018 0.4017 6
15 IL2RA 0.1781 0.9794 0.818 0.818 0.5992 -1.6672 2.0233 0.9142 6
16 GZMB 1.0583 0.6385 0.086 0.086 0.5845 -0.0109 2.1275 0.2723 6
17 PRF1 0.9534 0.4088 0.025 0.025 0.4497 0.1868 1.5973 0.1583 6
18 NKG7 1.1979 0.6640 0.001 0.001 0.6379 0.0210 2.3747 0.0190 6

Panel genes with significant changes (FDR < 0.25):
  ISG15: increased (beta=1.108, FDR=0.200)
  IFI6: increased (beta=0.836, FDR=0.123)
  PRF1: increased (beta=0.953, FDR=0.158)
  NKG7: increased (beta=1.198, FDR=0.019)

Boxplots show participant-level log1p CPM by day; points indicate individual participants.
../_images/tutorials_example_vaccine_immport_24_4.png

8. Pseudobulk Within-Arm (Panel Genes)#

Here, we aggregate counts to pseudobulk profiles and quantify gene‑level shifts by cell type.

Exploratory only: With permissive thresholds (min_cells_per_group=5, min_paired=3), many cell-type pools have very few paired observations (n≈5), producing discrete p-value distributions and unstable estimates. Treat these as hypothesis-generating, not confirmatory.

[13]:
# Note: scipy.stats.wilcoxon warns 'Sample size too small for normal approximation'
# when n <= 20, but uses exact p-values internally — the results are correct.
import warnings as _w
_w.filterwarnings('ignore', message='Sample size too small', category=UserWarning)

from scipy.stats import wilcoxon
if panel_genes and n_paired >= MIN_PAIRED and len(visits) == 2:
    # Use package helper for pseudobulk within-arm analysis
    pb, pb_deltas = st.pseudobulk_within_arm(
        adata_analysis,
        genes=panel_genes,
        participant_col="participant_id",
        visit_col=design.visit_col,
        visits=visits,
        celltype_col=design.celltype_col,
        counts_layer="counts",
        min_paired=MIN_PAIRED,
    )
    if not pb.empty:
        print("Pseudobulk paired deltas with Wilcoxon signed-rank test (panel genes × cell type):")
        display(pb.sort_values(["p_time"]).head(30))
        sig = pb[(pb["FDR_time"].notna()) & (pb["FDR_time"] < FDR_ALPHA)]
        if not sig.empty:
            print("")
            print(f"Significant pseudobulk changes (FDR < {FDR_ALPHA}):")
            for _, row in sig.iterrows():
                direction = "↑" if row["mean_delta"] > 0 else "↓"
                print(f"  {row['celltype']} - {row['feature']}: {direction} (delta={row['mean_delta']:.3f}, FDR={_fmt_fdr(row['FDR_time'])})")
    else:
        print("No pseudobulk results generated.")
    # Pseudobulk heatmap (mean delta by cell type × gene)
    if not pb.empty:
        sns.set_style("white")
        pivot = pb.pivot(index="feature", columns="celltype", values="mean_delta")
        plt.figure(figsize=(10, max(4, 0.35*len(pivot))))
        ax = plt.gca()
        sns.heatmap(
            pivot,
            cmap="RdBu_r",
            center=0,
            cbar_kws={"label": "Mean Δ (Day7-Day0)"},
            linewidths=0,
            linecolor="none",
        )
        ax.set_axisbelow(False)
        plt.title("Pseudobulk Mean Delta by Cell Type")
        plt.xlabel("Cell type")
        plt.ylabel("Gene")
        plt.tight_layout()
        plt.show()
    # Distribution plots for top genes (by absolute mean delta)
    if not pb.empty and not pb_deltas.empty:
        top_genes = (
            pb.assign(abs_delta=pb["mean_delta"].abs())
            .sort_values("abs_delta", ascending=False)
            .head(6)["feature"].unique()
        )
        plot_df = pb_deltas[pb_deltas["feature"].isin(top_genes)].copy()
        if not plot_df.empty:
            g = sns.catplot(
                data=plot_df,
                x="celltype",
                y="delta",
                col="feature",
                kind="box",
                col_wrap=3,
                sharey=False,
                height=3,
            )
            g.set_titles("{col_name}")
            g.set_xticklabels(rotation=45, ha="right")
            g.set_axis_labels("Cell type", "Δ (Day7-Day0)")
            plt.tight_layout()
            plt.show()
else:
    print("Insufficient paired participants for pseudobulk.")

Pseudobulk paired deltas with Wilcoxon signed-rank test (panel genes × cell type):
celltype feature n_units mean_delta median_delta p_time FDR_time
69 C6_CD8 T VCAN 6 -1.062615 -1.030314 0.031250 0.326838
74 C6_CD8 T PRF1 6 0.617359 0.488505 0.031250 0.326838
75 C6_CD8 T NKG7 6 0.367804 0.298231 0.031250 0.326838
25 C3_CD14+ monocytes IFI6 6 0.428861 0.122172 0.031250 0.326838
27 C3_CD14+ monocytes MX1 6 0.349177 0.244993 0.031250 0.326838
32 C3_CD14+ monocytes CD69 6 -0.905529 -0.860747 0.031250 0.326838
36 C3_CD14+ monocytes PRF1 6 -0.309773 -0.350772 0.043114 0.326838
201 C9_Platelets LYZ 5 -1.036649 -1.036991 0.062500 0.326838
270 C12_Tregs XBP1 5 -0.368027 -0.220880 0.062500 0.326838
274 C12_Tregs MX1 5 1.676067 1.203632 0.062500 0.326838
275 C12_Tregs S100A8 5 -1.525288 -1.673220 0.062500 0.326838
276 C12_Tregs S100A9 5 -1.417875 -1.580606 0.062500 0.326838
143 C5_B S100A9 5 -1.497778 -1.237037 0.062500 0.326838
277 C12_Tregs LYZ 5 -1.847370 -1.804193 0.062500 0.326838
141 C5_B MX1 5 0.199000 0.157742 0.062500 0.326838
142 C5_B S100A8 5 -1.525760 -1.447638 0.062500 0.326838
105 C1_NK S100A9 5 -1.492362 -1.526757 0.062500 0.326838
294 C17_Naive B S100A8 5 -2.814811 -2.584364 0.062500 0.326838
49 C10_Naive CD8 T LYZ 5 -1.502563 -1.387574 0.062500 0.326838
48 C10_Naive CD8 T S100A9 5 -1.651697 -1.466530 0.062500 0.326838
47 C10_Naive CD8 T S100A8 5 -1.387385 -1.265103 0.062500 0.326838
65 C6_CD8 T MX1 6 0.553320 0.270780 0.062500 0.326838
58 C6_CD8 T CD79B 6 0.726657 0.510624 0.062500 0.326838
202 C9_Platelets VCAN 5 -1.334796 -0.983637 0.062500 0.326838
73 C6_CD8 T GZMB 6 0.581737 0.489481 0.062500 0.326838
104 C1_NK S100A8 5 -1.393820 -1.332844 0.062500 0.326838
107 C1_NK VCAN 5 -1.112814 -1.184198 0.062500 0.326838
109 C1_NK CD38 5 0.165797 0.101300 0.062500 0.326838
101 C1_NK IFI6 5 0.114627 0.119478 0.062500 0.326838
112 C1_NK PRF1 5 0.277160 0.159133 0.062500 0.326838
../_images/tutorials_example_vaccine_immport_26_2.png
../_images/tutorials_example_vaccine_immport_26_3.png

9. Trial Interaction Plot (Single Arm)#

Here, we visualize paired trajectories to interpret direction and magnitude of change.

Note: The plot below shows trajectories for the first module score (features[0]). Change the index to visualize other modules.

[14]:
if features and len(visits) == 2:
    fig, ax = plt.subplots(1, 1, figsize=(5, 4))
    st.plot_within_arm_comparison(
        adata_analysis,
        arm="All",
        feature=features[0],
        design=design,
        visits=tuple(visits),
        plot_type="paired",
        ax=ax,
    )
    plt.tight_layout(); plt.show()

../_images/tutorials_example_vaccine_immport_28_0.png

10. Trial UMAP Panel for a Module Score#

Here, we overlay a module score on the UMAP to localize signal to specific cell populations.

[15]:
if features:
    modules = features[:4]
    if "X_umap" not in adata_analysis.obsm:
        # Ensure UMAP is computed on log1p_cpm (same as Section 4)
        adata_analysis.X = adata_analysis.layers["log1p_cpm"].copy()
        sc.pp.pca(adata_analysis)
        sc.pp.neighbors(adata_analysis)
        sc.tl.umap(adata_analysis)
    fig = st.plot_module_umap_panel(
        adata_analysis,
        module_cols=modules,
        celltype_col="cell_type",
        umap_key="X_umap",
        n_cols=2,
        figsize=(10, 8),
        point_size=6,
        alpha=0.7,
    )
    plt.show()
else:
    print("No module scores available for UMAP panel.")

../_images/tutorials_example_vaccine_immport_30_0.png

11. Dotplot of Panel Genes#

Here, we summarize gene expression patterns across visits (Day 0 vs Day 7) in a compact dotplot.

[16]:
if panel_genes:
    sc.pl.dotplot(
        adata_analysis,
        panel_genes,
        groupby=design.visit_col,
        standard_scale="var",
        use_raw=False,
    )

../_images/tutorials_example_vaccine_immport_32_0.png

12. Advanced Statistical Analyses#

Statistical modules for within-arm longitudinal studies:

  • Effect sizes: Cohen’s d for paired within-arm changes

  • Power analysis: Current power and sample size planning

  • Effective sample size: Accounting for cell-level clustering

12.1 Effect Sizes for Within-Arm Changes#

For within-arm paired studies, paired effect sizes quantify the magnitude of change from baseline.

[17]:
print("=" * 60)
print("EFFECT SIZE ANALYSIS (Within-Arm)")
print("=" * 60)
if features and len(visits) == 2:
    # Aggregate to participant-visit level
    df_agg = (
        adata_analysis.obs[adata_analysis.obs["participant_id"].isin(VALID_PAIRED_IDS)]
        .groupby(["participant_id", "visit"], observed=True)[features]
        .mean()
        .reset_index()
    )

    effect_results = []
    for feat in features:
        # Pivot to wide format
        wide = df_agg.pivot(index="participant_id", columns="visit", values=feat)

        if visits[0] not in wide.columns or visits[1] not in wide.columns:
            continue

        wide = wide.dropna()
        pre_vals = wide[visits[0]].values
        post_vals = wide[visits[1]].values

        if len(pre_vals) >= 3:
            # Paired effect size: standardized mean of within-subject differences
            delta = post_vals - pre_vals
            sd_delta = delta.std(ddof=1)
            d_paired = delta.mean() / sd_delta if sd_delta > 0 else np.nan

            # Hedge's correction for small-sample bias (paired df = n-1)
            n = len(delta)
            j = 1 - 3 / (4 * (n - 1) - 1) if n > 2 else 1.0
            g_paired = d_paired * j if not np.isnan(d_paired) else np.nan

            # Bootstrap CI for paired effect size
            rng = np.random.default_rng(SEED)
            boot_ds = []
            for _ in range(999):
                idx = rng.choice(n, size=n, replace=True)
                d_boot = delta[idx]
                sd_b = d_boot.std(ddof=1)
                boot_ds.append(d_boot.mean() / sd_b * j if sd_b > 0 else np.nan)
            boot_ds = np.array(boot_ds)
            boot_ds = boot_ds[np.isfinite(boot_ds)]
            ci_low = np.percentile(boot_ds, 2.5) if len(boot_ds) > 0 else np.nan
            ci_high = np.percentile(boot_ds, 97.5) if len(boot_ds) > 0 else np.nan

            effect_results.append({
                "feature": feat,
                "mean_delta": delta.mean(),
                "d_paired": d_paired,
                "g_paired": g_paired,
                "ci_lower": ci_low,
                "ci_upper": ci_high,
                "n_paired": len(pre_vals),
            })

    if effect_results:
        df_effect = pd.DataFrame(effect_results)

        print("\nEffect sizes for Day 0 → Day 7 changes:")
        print("  d_paired: standardized within-subject change (delta_mean / sd_delta)")
        print("  g_paired: bias-corrected paired effect size (Hedge's J correction)")
        print("")
        display(df_effect.round(3))

        # Visualize
        fig, ax = plt.subplots(figsize=(8, 5))
        y_pos = np.arange(len(df_effect))

        ax.barh(y_pos, df_effect["g_paired"], xerr=[
            df_effect["g_paired"] - df_effect["ci_lower"],
            df_effect["ci_upper"] - df_effect["g_paired"]
        ], capsize=5, color=["coral" if g > 0 else "steelblue" for g in df_effect["g_paired"]])
        ax.axvline(0, color="black", linewidth=0.5)
        ax.set_yticks(y_pos)
        ax.set_yticklabels(df_effect["feature"])
        ax.set_xlabel("Paired Hedge's g (95% Bootstrap CI)")
        ax.set_title("Effect Sizes: Day 7 vs Day 0")

        # Reference lines
        for thresh in [-0.8, -0.5, -0.2, 0.2, 0.5, 0.8]:
            ax.axvline(thresh, color="gray", linestyle=":", alpha=0.5)

        plt.tight_layout()
        plt.show()
else:
    print("Effect size analysis requires paired visits.")

============================================================
EFFECT SIZE ANALYSIS (Within-Arm)
============================================================

Effect sizes for Day 0 → Day 7 changes:
  d_paired: standardized within-subject change (delta_mean / sd_delta)
  g_paired: bias-corrected paired effect size (Hedge's J correction)

feature mean_delta d_paired g_paired ci_lower ci_upper n_paired
0 ms_B_Cell_Response 0.003 0.034 0.029 -0.792 0.929 6
1 ms_IFN_Signature 0.058 0.817 0.688 0.067 2.058 6
2 ms_Inflammatory -0.030 -0.100 -0.085 -1.801 0.511 6
3 ms_T_Cell_Activation 0.006 0.226 0.190 -0.422 5.010 6
4 ms_Cytotoxic 0.265 1.315 1.108 0.651 3.278 6
5 ms_Memory_T -0.163 -0.541 -0.455 -1.382 0.333 6
../_images/tutorials_example_vaccine_immport_35_2.png

12.2 Power Analysis#

Power analysis for within-arm studies helps plan future studies and understand current study limitations.

[18]:
print("=" * 60)
print("POWER ANALYSIS (Within-Arm Paired Design)")
print("=" * 60)

# Use sctrial's paired power functions (single-arm pre/post design).
# These are the correct functions for a paired study — do NOT use
# power_did() which assumes a two-arm DiD design.

# Current sample size
n_paired = N_VALID_PAIRED
print(f"\nCurrent paired sample size: {n_paired} participants")

# Power for different effect sizes
print(f"\nPower with n={n_paired} paired participants (paired t-test):")
for effect_size in [0.5, 0.8, 1.0, 1.5, 2.0]:
    pwr = st.power_paired(n_participants=n_paired, effect_size=effect_size)
    print(f"  Effect size d={effect_size}: {pwr:.1%} power")

# Sample sizes needed for 80% power
print("\nSample size needed for 80% power (paired design):")
for effect_size in [0.5, 0.8, 1.0, 1.5, 2.0]:
    n_needed = st.sample_size_paired(effect_size=effect_size, power=0.80)
    print(f"  Effect size d={effect_size}: {n_needed} participants")

# Power curve visualization
fig, axes = plt.subplots(1, 2, figsize=(12, 5))

# Power curve across sample sizes
n_range = np.arange(3, 31)
for effect_size, color in [(0.5, "blue"), (0.8, "green"), (1.0, "orange"), (1.5, "red")]:
    powers = [st.power_paired(n_participants=n, effect_size=effect_size) for n in n_range]
    axes[0].plot(n_range, powers, label=f"d={effect_size}", color=color, linewidth=2)
axes[0].axhline(0.8, color="black", linestyle="--", alpha=0.5, label="80% power")
axes[0].axvline(n_paired, color="gray", linestyle=":", label=f"Current n={n_paired}")
axes[0].set_xlabel("Sample size (paired participants)")
axes[0].set_ylabel("Power")
axes[0].set_title("Power Curves by Effect Size (Paired Design)")
axes[0].legend(loc="lower right")
axes[0].set_ylim(0, 1)
axes[0].grid(True, alpha=0.3)

# Power with current sample across effect sizes
effect_range = np.linspace(0.2, 3.0, 50)
power_current = [st.power_paired(n_participants=n_paired, effect_size=e) for e in effect_range]
axes[1].plot(effect_range, power_current, linewidth=2, color="steelblue")
axes[1].axhline(0.8, color="black", linestyle="--", alpha=0.5)
axes[1].fill_between(effect_range, 0, power_current, alpha=0.2)
axes[1].set_xlabel("Effect size (Cohen's d)")
axes[1].set_ylabel("Power")
axes[1].set_title(f"Power with Current Sample (n={n_paired})")
axes[1].set_ylim(0, 1)
axes[1].grid(True, alpha=0.3)

# Mark minimum detectable effect
mde = st.sensitivity_paired(n_participants=n_paired, power=0.80)
axes[1].axvline(mde, color="coral", linestyle=":",
                label=f"Min detectable d={mde:.2f}")
axes[1].legend()
plt.tight_layout()
plt.show()

# Effective sample size
print("\n" + "=" * 60)
print("EFFECTIVE SAMPLE SIZE")
print("=" * 60)
cells_per_participant = adata_analysis.obs.groupby("participant_id").size()
avg_cells = cells_per_participant.mean()
total_cells = adata_analysis.n_obs
n_participants = adata_analysis.obs["participant_id"].nunique()
print(f"\nParticipants: {n_participants}")
print(f"Total cells: {total_cells:,}")
print(f"Average cells per participant: {avg_cells:.0f}")
print("\nDesign effect and effective sample size (cells within participant):")
print("  n_clusters = number of participants (not total cells)")
for icc in [0.01, 0.05, 0.10, 0.20]:
    de = st.design_effect(avg_cells, icc)
    eff_n = st.effective_sample_size(n_participants, avg_cells, icc)
    print(f"  ICC={icc}: Design effect={de:.1f}, Effective n={eff_n:.0f}")
print("\nNote: Participant-level aggregation accounts for clustering automatically.")
============================================================
POWER ANALYSIS (Within-Arm Paired Design)
============================================================

Current paired sample size: 6 participants

Power with n=6 paired participants (paired t-test):
  Effect size d=0.5: 13.9% power
  Effect size d=0.8: 28.3% power
  Effect size d=1.0: 41.0% power
  Effect size d=1.5: 73.8% power
  Effect size d=2.0: 93.4% power

Sample size needed for 80% power (paired design):
  Effect size d=0.5: 63 participants
  Effect size d=0.8: 25 participants
  Effect size d=1.0: 16 participants
  Effect size d=1.5: 7 participants
  Effect size d=2.0: 4 participants
../_images/tutorials_example_vaccine_immport_37_1.png

============================================================
EFFECTIVE SAMPLE SIZE
============================================================

Participants: 6
Total cells: 78,488
Average cells per participant: 13081

Design effect and effective sample size (cells within participant):
  n_clusters = number of participants (not total cells)
  ICC=0.01: Design effect=131.8, Effective n=595
  ICC=0.05: Design effect=655.0, Effective n=120
  ICC=0.1: Design effect=1309.0, Effective n=60
  ICC=0.2: Design effect=2617.1, Effective n=30

Note: Participant-level aggregation accounts for clustering automatically.

Pseudobulk Export#

Here we export participant-level pseudobulk expression for downstream analyses.

[19]:
pb = st.pseudobulk_export(
    adata_analysis,
    genes=panel_genes[:5] if panel_genes else adata_analysis.var_names[:5],
    design=design,
    visits=tuple(visits),
    celltype_col=design.celltype_col,
)
print(pb)
display(pb.obs.head())

AnnData object with n_obs × n_vars = 202 × 5
    obs: 'participant_id', 'visit', 'cell_type'
/opt/anaconda3/lib/python3.12/functools.py:909: ImplicitModificationWarning: Transforming to str index.
  return dispatch(args[0].__class__)(*args, **kw)
participant_id visit cell_type
0 2047 0 C0_CD4 T
1 2047 0 C3_CD14+ monocytes
2 2047 0 C10_Naive CD8 T
3 2047 0 C6_CD8 T
4 2047 0 C4_CD16+ monocytes